安瑞克芬Ⅲ期研究登《THE BMJ》,中国原创新药破解肾病患者 “瘙痒难题”
58岁的李先生因慢性肾衰竭已接受规律血液透析治疗三年。最近几个月,他逐渐出现全身皮肤瘙痒,夜间尤为严重,严重影响睡眠。“痒得睡不着,甚至想用热水烫洗来缓解。”李先生表示,瘙痒主要集中在背部、前臂和小腿,搔抓后出现条状抓痕、血痂和色素沉着。
李先生的情况并非个例,而是无数透析患者正在经历的痛苦现实——慢性肾脏疾病相关性瘙痒(CKD-aP)。长期以来,这种顽固性瘙痒缺乏安全有效的治疗手段。近期,中国原研创新药安瑞克芬的Ⅲ期临床研究成果登上国际顶级期刊《英国医学杂志》(《The BMJ》),意味着这一长期困扰慢性肾脏病患者的临床难题迎来重大突破。

8月30日,“慢性肾脏疾病相关瘙痒(CKD-aP)创新药Ⅲ期临床成果数据全国分享会”在杭州举行。来自全国的安瑞克芬的III期研究者、肾病专家共襄盛事,共同见证这一具有里程碑意义的时刻,揭开慢性肾病瘙痒治疗从 “对症缓解” 到 “精准靶向” 的全新篇章。
“作为肾内科医生,我们每天面对的不仅是肌酐、尿素氮的数字,更是患者被透析后各种并发症带来的‘难言之隐’的痛苦折磨,CKD-aP就是其中之一。”浙江大学医学院附属第一医院肾脏病中心主任陈江华在分享中介绍,研究表明,近80%的透析患者受到CKD-aP困扰,中重度瘙痒者高达40%[1],他们彻夜难眠、抓痕遍布,甚至有人因无法忍受而放弃治疗。“但长期以来,我们只能用抗组胺药、保湿霜等普通抗瘙痒治疗的方法,绝大多数患者治疗效果不理想。这不仅是医学难题,更是对患者尊严的考验。”陈江华感慨道。

“去年10月,在美国肾脏病年会(ASN)主会场,我代表中国团队报告了安瑞克芬Ⅲ期研究成果,受到广泛关注。今天,这份成果正式发表于《The BMJ》,这是我国肾脏病界首次独立完成的自主研发创新药研究问鼎国际医学顶刊,标志着我国肾脏病治疗创新药研究获国际学术界高度认可。”该研究主要研究者之一,来自东南大学附属中大医院刘必成教授介绍,“在CKD-aP的机制研究中,阿片系统失衡是最重要的病理机制之一。海思科医药的安瑞克芬则采用‘氮杂螺环结构’提升κ受体选择性,以‘四肽母核’降低血脑屏障穿透率,实现外周高效止痒的效果,为患者带来了新的治疗选择。”

此前,针对CKD-ap的治疗方案,以普通皮肤药物及抗过敏药为主,大多数没有临床循证证据,属于超适应症使用。而国内上市的唯一CKD-aP治疗药物只有中枢κ受体激动剂,因此,CKD-aP治疗药物十分短缺。“安瑞克芬是在有效性及安全性上的重大创新突破”。大会主持人,中山大学第一附属医院陈崴教授带领参会专家代表共同回忆了安瑞克芬十年磨一剑,艰苦卓绝的创新研发之路,对安瑞克芬三期研究的创新成果荣登国际顶刊这一盛事,表达出强烈的民族自豪!

据介绍,以陈江华教授、刘必成教授为核心的研究团队联合全国各地50家中心,共同参与了安瑞克芬Ⅲ期研究。该研究将WI-NRS(每日最严重瘙痒强度数字评分)评分纳入血液透析患者瘙痒的常规评估,让“看不见的瘙痒”变得可量化、可管理。研究共纳入了544例受试者、通过了52周(包括双盲治疗期12周和开放治疗期40周[2]。双盲治疗期受试者随机接受安瑞克芬/安慰剂的治疗,开放治疗期所有受试者均接受安瑞克芬治疗)的长期观察。
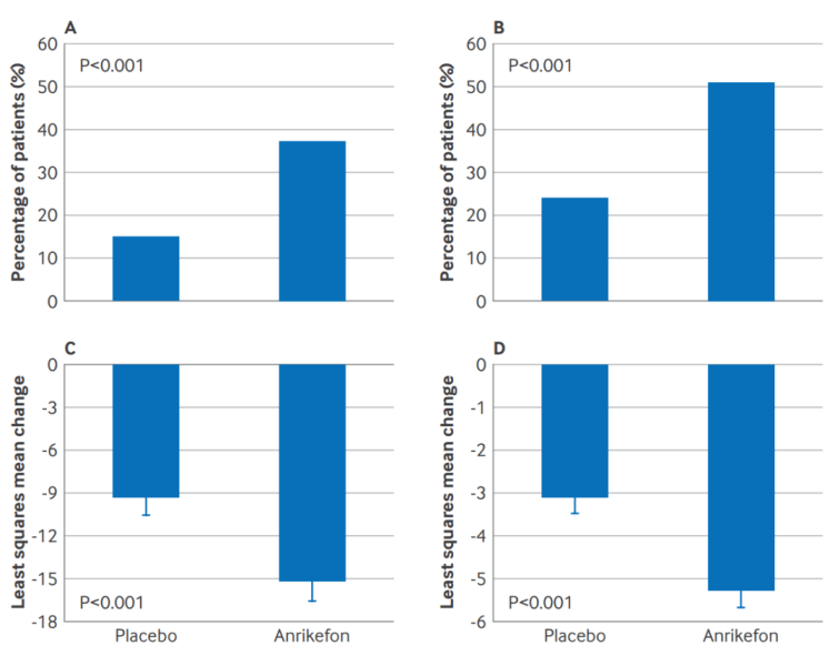
2024年9月,海思科医药提交该药用于治疗慢性肾脏疾病相关性瘙痒适应证上市申请,并获得优先审批。 而就在 2025 年的今天,随着其 Ⅲ 期临床研究成果在《The BMJ》重磅发布 —— 主要疗效指标双盲治疗期第12周WI-NRS(每日最严重瘙痒强度数字评分NRS)的周平均值较基线改善≥4分的受试者比例,安瑞克芬组显著高于安慰剂组(37% vs 15%),所有次要疗效指标包括:双盲治疗12周WI-NRS的周平均值较基线改善≥3分的受试者比例(51% vs 24%)、生活质量评分5-D量表较基线的变化(-5.3 vs -3.1)和Skindex-10(-15.2 vs -9.3),安瑞克芬组均显著优于安慰剂组。这一系列硬核数据不仅为该适应证的获批提供了坚实支撑,更意味着困扰众多透析患者的顽固性瘙痒,即将迎来首个兼具明确疗效与安全性的治疗手段。相信新药随着安瑞克芬的上市,将为中国指南的更新提供循证依据,推动CKD-aP的规范化诊疗。

图1.双盲治疗期第12周WI-NRS的周平均值较基线改善≥4分/≥3分的受试者比例(A/B)及Skindex-10量表/5-D量表总分较基线变化(C/D)

图2.第1~12周WI-NRS的周平均值较基线的变化
安瑞克芬的研发与临床进展,不仅让中国在慢性病药物原创研究方面取得实质性突破,也为全球CKD-aP治疗提供了新的“中国方案”。从机制探索到临床落地,近十年的研发历程见证了中国制药企业从仿制到创新、从跟跑到领跑的转型与努力。未来,随着该药更多适应证的拓展与临床应用,安瑞克芬有望惠及更广泛的患者群体,进一步提升我国在慢性肾脏病综合管理方面的治疗水平。
参考文献:
[1] Sukul N, et al. Kidney Med 2020;3:42–53.
[2] Liu BC, et al; BMJ. 2025 Aug 19;390:e085208.
注:本资讯旨在提供前沿医学信息与研究进展,仅供医疗卫生专业人士参考,不属于产品推广和广告用途。文中内容不能取代专业的医疗指导,也不应视为诊疗建议。医疗卫生专业人士在对文中涉及到的任何药品进行处方时,请严格遵循产品最新详细处方资料。